- 12 ~ 48VDC Motor
- Up to 12,000N Dynamic Load
- Overload Protection: Clutch
- Limit Switches: Internal
- Position Feedback Available:
- Endstop Signal
- Hall Sensor
- Potentiometer
- Reed Switches
- Maximum Stroke: 1,000mm
- Protection Level: IP66
- Noise Level: ≤65 dB
- Color: Silver & Black
- Typical Lead Time: 4-6 Weeks
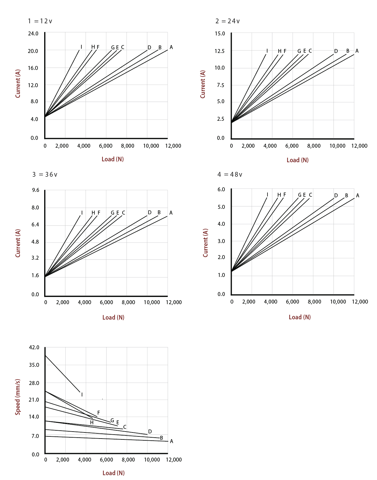
Specifications
| Code | Max. Dynamic Load (N) | Max. Self Locking Load (N) | Reduction Ratio | Pitch (mm) | No Load Speed (mm/s) +/-10% | Full Load Speed (mm/s) +/-10% | Max. Stroke (mm) without Pot. | Max. Stroke (mm) with Pot. |
|---|---|---|---|---|---|---|---|---|
| A | 12,000 | 15,000 | 40:1 | 4 | 6.5 | 4.5 | 1,000 | 176 |
| B | 11,000 | 12,000 | 30:1 | 4 | 8.5 | 6.0 | 1,000 | 176 |
| C | 7,500 | 9,000 | 20:1 | 4 | 13.0 | 9.0 | 1,000 | 176 |
| D | 10,000 | 12,000 | 40:1 | 8 | 13.0 | 7.0 | 1,000 | 352 |
| E | 7,000 | 8,000 | 30:1 | 8 | 17.0 | 9.5 | 1,000 | 352 |
| F | 5,000 | 6,000 | 20:1 | 8 | 25.0 | 14.0 | 1,000 | 352 |
| G | 6,500 | 8,000 | 40:1 | 12 | 20.0 | 11.0 | 1,000 | 528 |
| H | 4,500 | 5,500 | 30:1 | 12 | 25.0 | 13.0 | 1,000 | 528 |
| I | 3,200 | 4,000 | 20:1 | 12 | 38.0 | 24.0 | 1,000 | 528 |
Dimensions
Mounting Ends
Start of Installation Length
Hole Directions
Rear Mounting End
Start of Installation Length
Hole Directions
Performance
Downloads
Catalog Download: MLA-39 Actuator Catalog.pdf









